PL com R$ 800 mi. PT com R$ 600 mi e União Brasil com R$ 536,5 milhões; saiba quanto cada partido receberá do fundo eleitoral
Em cumprimento à lei eleitoral e seus critérios aprovados pelo Congresso, o TSE divulga os valores destinados a cada partido político
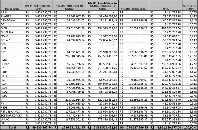
O Tribunal Superior Eleitoral (TSE) divulgou, na segunda-feira (17), os valores que cada partido vai receber do Fundo Especial de Financiamento de Campanha (FEFC), seguindo o prazo fixado pelo calendário eleitoral. Ao todo, 29 partidos receberão R$ 4.961.519.777,00, valor estabelecido pelo Congresso Nacional para gastos com a corrida eleitoral deste ano. Os critérios da divisão também foram fixados em lei pelo parlamento (Lei nº 9.504/1997, artigo 16-D).
O PL terá direito a R$ 886,8 milhões (17,87% do total) do fundão e lidera o ranking, seguido do PT com R$ 619,9 milhões (12,49%) e em terceiro o União Brasil com R$ 536,5 milhões (10,81%). Veja como ficou a divisão por cada partido:

Para receber os recursos, cada partido precisa definir critérios de distribuição às candidatas e aos candidatos, de acordo com a lei, respeitando, por exemplo, a cota por gênero e raça. O plano deve ser homologado pelo TSE.
Ao final do pleito, os partidos deverão apresentar a prestação de contas detalhada, que será examinada e votada pelo plenário do Tribunal.
Informações: TSE


